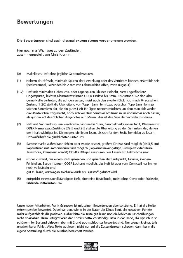
Nächster Termin: 43. Auktion "Comics" am Freitag, den 28. Okt. und Samstag, den 29. Okt. 2022

Liebe Katalogleser,
wir erinnern uns: Vor ziemlich genau einem Jahr fand in Friedrichsdorf die letzte Comic-Auktion statt. Die letzte Auktion mit unserem guten Freund und Sammlerkollegen Chris Krumm. Er weilt leider nicht mehr unter uns. Da es noch nicht alle wissen: Er verstarb urplötzlich im November letzten Jahres. Für alle ein Schock, der nicht spurlos an einem vorüber geht. Erst dachte ich, damit ist auch die Auktion in Friedrichsdorf passé. Ohne Chris geht es nicht.
Dann aber, nachdem mich die Realität nicht nur eingeholt hatte und ich das Unfassbare langsam doch zu begeifern begann, wuchs das Bedürfnis, weiterzumachen. Und so ist die 43. Auktion wieder am Start. Frank Granzow, ein langjähriger Kunde und Sammlerfreund, hat sich bereit erklärt, die Bewertung der Hefte vorzunehmen. Die meisten von euch kennen ihn bereits von den vergangenen Auktionen, die er seit zig Jahren besuchte.
Wir haben in der letzten Zeit viele tolle Einlieferungen erhalten und es steht noch einiges hier, das in der Schnelle nicht verarbeitet werden konnte. Als "Generalprobe" sozusagen findet die diesjährige Auktion statt. Frank Granzow hat auf jeden Fall ganze Arbeit geleistet, damit die Comic-Auktion weitergeht, da möchte ich mich an dieser Stelle sehr herzlich für bedanken. Auch haben wir einen neuen Auktionator, damit ist die "Generalprobe" perfekt. Er hat bereits eine Reklame-Auktion für mich durchgeführt und sein Debut erfolgreich gemeistert.
Nun aber zum Inhalt: Die Haupteinlieferung besteht aus einer großen Lehning-Wäscher Sammlung, die ansich komplett ist, selbst Variant-Hefte und die sehr seltenen "Österreich-Ausgaben" von "Akim Held" sind dabei. Dann haben wir fantastische "Buntes Allerlei" im Angebot und -man glaubt es kaum- eine "Micky Maus Nullnummer"! Nicht makellos, aber in sammelwürdigem Zustand. Wer schon lange die "Tollsten Geschichten" sucht; bitteschön: Here we are. In Traumzuständen. Wie wäre es mit Clubmaterial? Wimpel, Ausweise und Nadeln, alles was das Herz begehrt ist da. Komplettserien, Konvolute und Einzeltitel locken.
Die Auktion fällt mit relativ wenigen Heften auf, was einerseits mit der knappen Zeit zu tun hat und andererseits für unseren neuem Auktionator überschaubar ist. Aber entscheidend ist die Qualität, nicht die Quantität. Wir können uns also Zeit lassen. Am Freitag geht es nach der Vorbesichtigung schon los, die ersten knapp 300 Positionen kommen unter den Hammer. Der Rest am Samstag.Wie die Vorbesichtigung stattfindet, ist noch nicht 100%ig geklärt, möglicherweise gilt die Regelung, dass die Positionen, wie auch bei der letzten Auktion, lediglich in der Schutzfolie geprüft werden können. Bei den Top-Zuständen ist das sowieso nicht möglich. Langjährige Besucher wissen das und sind damit auch einverstanden. Nach dem Motto: "Wo kein Mangel ist, brauche ich auch keinen Mangel zu prüfen".
Die Auktion findet wie gewohnt live mit Publikum statt, ob es Beschränkungen geben wird, steht noch in den Sternen. Auf jeden Fall ist es nicht verkehrt, eine FFP2 Maske dabei zu haben und zu nutzen.
Ich wünsche Ihnen und euch allen viel Freude mit der Durchsicht des Kataloges. Mögen lang gesuchte Hefte dabei sein, die einen Beitrag zur Freude leisten. Ich hoffe, dass wir uns gesund und munter auf der Auktion wiedersehen und gemeinsam ein tolles Wochenende erleben.
Herzliche Grüße
Micky Waue, Frank Granzow und das Auktionsteam




